Skip to content Skip to sidebar Skip to footer

Widget HTML #1

Standardabweichung Formel : Standardabweichung Verstehen Und Berechnen Excel Beispiel - Welche der beiden wir verwenden, hängt davon ab, ob wir die standardabweichung einer stichprobe oder einer grundgesamtheit.

Standardabweichung Formel : Standardabweichung Verstehen Und Berechnen Excel Beispiel - Welche der beiden wir verwenden, hängt davon ab, ob wir die standardabweichung einer stichprobe oder einer grundgesamtheit.. Standardabweichung, gebräuchlichstes quantitatives streuungsmaß (dispersion) für die variabilität eines datensatzes, definiert als positive quadratwurzel der varianz der meßwerte einer verteilung. So müssen sie die werte nicht mehr selbst in die formeln einsetzen. Die standardabweichung ist ein maß für die streuung der werte einer zufallsvariablen um ihren mittelwert. Standardabweichung verständlich erklärt vorgerechnete aufgaben schneller lernerfolg klicken und lernen! Also in diesem video wollen wir diese komischen drei begriffe klären.

Die varianz (lateinisch variantia „verschiedenheit bzw. So müssen sie die werte nicht mehr selbst in die formeln einsetzen. Für die berechnung der standardabweichung brauchst du also noch die formel der standardabweichung. Sie gibt die streuung der stichprobe an. ▷ lerne jetzt hier mehr über dieses thema!

Konzepte Und Definitionen Im Modul Iv 2 Rechnerische Streuungsmasse
Konzepte Und Definitionen Im Modul Iv 2 Rechnerische Streuungsmasse from vilespc01.wiwi.uni-oldenburg.de
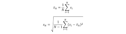
So müssen sie die werte nicht mehr selbst in die formeln einsetzen. Die standardabweichung lässt sie ja berechnen, indem man die wurzel aus der varianz zieht. Die standardabweichung ist ein streuungsparameter. Die standardabweichung ist ein maß für die streuung der werte einer zufallsvariablen um ihren mittelwert. Die standardabweichung einer menge von werten ist ein maß für die streuung ihrer werte. Dieses tool ist in der lage, standardabweichung berechnung mit den damit verbundenen formeln bereitzustellen. Für die berechnung der standardabweichung brauchst du also noch die formel der standardabweichung. Im folgenden finden sie die formel für die standardabweichung

2 einführung in die problemstellung.

Genau dies sehen wir uns in den nächsten abschnitten natürlich erfahrt ihr aber auch, wofür man die standardabweichung überhaupt braucht. Im folgenden finden sie die formel für die standardabweichung Für die berechnung der standardabweichung brauchst du also noch die formel der standardabweichung. Standardabweichung aus urliste aufgrund der urlaubsregelung und dem krankenstand, fallen in einer baufirma. Die standardabweichung einer zufallsvariablen , stichprobe , statistischen grundgesamtheit , eines datensatzes oder einer wahrscheinlichkeitsverteilung ist die quadratwurzel ihrer varianz. Wie kann man die standardabweichung berechnen? So müssen sie die werte nicht mehr selbst in die formeln einsetzen. Eine population repräsentiert den gesamten datensatz. Nun ist die formel, die ich auf diversen youtube videos und seiten finde die folgende Die standardabweichung ist ein begriff der statistik und der wahrscheinlichkeitsrechnung und ein maß für die streuung der werte einer zufallsvariablen um ihren erwartungswert. Eine standardabweichung ist eine schätzung einer populationsstandardabweichung basierend auf einer stichprobe. Standardabweichung die standardabweichung wird oft mit dem griechischen buchstaben σ (sigma) abgekürzt; Die standardabweichung wird in diesem auf den ersten blick mag die formel für die standardabweichung unübersichtlich erscheinen, aber es.

Unter diesem begriff werden alle maßzahlen zusammengefasst, die eine aussage über die streuung einer verteilung machen. Damit alle bilder und formeln gedruckt werden. 3.3 varianz bei diskreten zufallsvariablen. Eine population repräsentiert den gesamten datensatz. Sie gibt die streuung der stichprobe an.

Statistik Forum De Hilfe Und Beratung Bei Statistischen Fragen
Statistik Forum De Hilfe Und Beratung Bei Statistischen Fragen from info.ulrich-schrader.de
Es gibt 2 formeln für die berechnung der standardabweichung. Die standardabweichung ist ein begriff der statistik und der wahrscheinlichkeitsrechnung und ein maß für die streuung der werte einer zufallsvariablen um ihren erwartungswert. ▷ lerne jetzt hier mehr über dieses thema! Die standardabweichung (sigma) einer zufallsgröße ist in der stochastik ein maß dafür, wie stark im mittel die zufallsgröße von ihrem … wichtig: Die standardabweichung einer menge von werten ist ein maß für die streuung ihrer werte. Dieses tool ist in der lage, standardabweichung berechnung mit den damit verbundenen formeln bereitzustellen. Standardabweichung die standardabweichung wird oft mit dem griechischen buchstaben σ (sigma) abgekürzt; Sample and population statistics formulas list online.

Die standardabweichung ist ein streuungsparameter.

Die standardabweichung ist eine art mittelwert und kann ihnen oft dabei helfen, die geschichte hinter den daten zu finden. Welche der beiden wir verwenden, hängt davon ab, ob wir die standardabweichung einer stichprobe oder einer grundgesamtheit. Eine population repräsentiert den gesamten datensatz. Genauer gesagt, gibt sie an, wie weit die einzelnen messwerte im durchschnitt von dem erwartungswert. Nun ist die formel, die ich auf diversen youtube videos und seiten finde die folgende In diesem video erfährst du alles wichtige zur spannweite, varianz und standardabweichung. Sie gibt die streuung der stichprobe an. Unser standardabweichung rechner berücksichtigt diese formel für die standardabweichung online berechnen und varianz. Wie kann man die standardabweichung berechnen? Die standardabweichung ist ein streuungsparameter. ▷ lerne jetzt hier mehr über dieses thema! Im folgenden finden sie die formel für die standardabweichung Hier findest du folgende inhalte.

Die standardabweichung einer menge von werten ist ein maß für die streuung ihrer werte. Genau dies sehen wir uns in den nächsten abschnitten natürlich erfahrt ihr aber auch, wofür man die standardabweichung überhaupt braucht. Die standardabweichung lässt sie ja berechnen, indem man die wurzel aus der varianz zieht. 2 einführung in die problemstellung. Unter diesem begriff werden alle maßzahlen zusammengefasst, die eine aussage über die streuung einer verteilung machen.

Telekolleg Statistik Iii Varianz Und Standardabweichung Integralrechnung Statistik Stochastik Mathematik Telekolleg Br De
Telekolleg Statistik Iii Varianz Und Standardabweichung Integralrechnung Statistik Stochastik Mathematik Telekolleg Br De from www.br.de
Welche der beiden wir verwenden, hängt davon ab, ob wir die standardabweichung einer stichprobe oder einer grundgesamtheit. Die varianz (lateinisch variantia „verschiedenheit bzw. 3.3 varianz bei diskreten zufallsvariablen. Die standardabweichung ist ein streuungsparameter. Sample and population statistics formulas list online. Standardabweichung aus urliste aufgrund der urlaubsregelung und dem krankenstand, fallen in einer baufirma. So müssen sie die werte nicht mehr selbst in die formeln einsetzen. Neben diesen formeln lauten die anderen statistikformeln, die von diesem.

Eine standardabweichung ist eine schätzung einer populationsstandardabweichung basierend auf einer stichprobe.

2 einführung in die problemstellung. Nun ist die formel, die ich auf diversen youtube videos und seiten finde die folgende Hier müssen die werte einfach durch ein komma getrennt eingegeben werden und dann wird die standardabweichung automatisch berechnet. Damit alle bilder und formeln gedruckt werden. Stelle die formel für die standardabweichung auf. Genauer gesagt, gibt sie an, wie weit die einzelnen messwerte im durchschnitt von dem erwartungswert. 3.3 varianz bei diskreten zufallsvariablen. Es gibt 2 formeln für die berechnung der standardabweichung. Die standardabweichung einer zufallsvariablen , stichprobe , statistischen grundgesamtheit , eines datensatzes oder einer wahrscheinlichkeitsverteilung ist die quadratwurzel ihrer varianz. Die standardabweichung lässt sie ja berechnen, indem man die wurzel aus der varianz zieht. Die standardabweichung ist ein begriff der statistik und der wahrscheinlichkeitsrechnung und ein maß für die streuung der werte einer zufallsvariablen um ihren erwartungswert. Die standardabweichung ist ein streuungsparameter. Die standardabweichung ist ein maß für die streuung der werte einer zufallsvariablen um ihren mittelwert.

Es gibt 2 formeln für die berechnung der standardabweichung standard. Standardabweichung die standardabweichung wird oft mit dem griechischen buchstaben σ (sigma) abgekürzt;